典型题
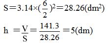
一个圆锥的底面直径是6dm,体积是141.3 dm3,求圆锥的高。

错解

答:圆锥的高是5dm。
错因剖析
已知圆锥的体积和底面积,求高的过程中没有用体积除以
,导致结果错误。
正确解答

答:圆锥的高是15dm。
点拨
在应用圆锥的体积公式V=
Sh时,能正确推导出h =
,是解决本题的关键。
跟踪练习
1.已知圆锥的底面直径是8厘米,体积是502.4立方厘米,求圆锥的高。
2.已知圆锥的高是10分米,体积是94.2立方分米,求圆锥的底面半径。
练习答案
1.h=
=502.4×3÷
=30(厘米)
2.

