典型题
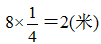
有一个长方形菜园,长12米,宽8米,扩建后,长增加它的
,宽增加它的
,扩建后,面积增加了多少?
错解

4×2=8(平方米)
答:面积增加了8平方米。
错因剖析
错误在认为长方形扩建后增加的面积等于增加的长乘增加的宽。
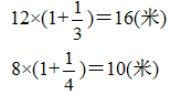
正确解答

16×10-12×8=64(平方米)
答:面积增加了64平方米。
点拨
长方形扩建后增加的面积等于扩建后的面积减去原来的面积。
跟踪练习
1.如下图,求扩建的绿地面积。(单位:米)

2.有一个长方形,长是16分米,宽是10分米。扩建后,长增加了
,宽增加了
,求扩建后增加的面积。
练习答案
1.(12+4)×(5+2)-12×5=52(平方米)
2.
