典型题
两个码头之间相距100千米,甲、乙两艘轮船分别同时从两个码头出发向相反方向开出,甲船每小时行38千米,乙船每小时行32千米,经过几小时两船相距450千米?(列方程解)
错解
解:设经过x小时两船相距450千米。
(38+32)x=450
70x=450
x=
答:经过
小时两船相距450千米。
错因剖析
此题错在没有找到正确的等量关系。求航行几小时后两船相距450千米,就是求几小时后甲船和乙船行了(450-100)千米,设经过x小时两船相距450千米,根据“速度和(甲船的速度+乙船的速度)×经过时间=相距路程”列方程解答即可。
正确解答
解:设经过x小时两船相距450千米。
(38+32)x=450-100
70x=350
x=5
答:经过5小时两船相距450千米。
点拨
本题主要理解航行几小时后两船相距450千米,就是几小时后甲船和乙船行了450-100=350(千米),看作相遇问题解答即可。
跟踪练习
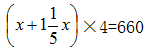
1.甲、乙两站之间的路程长660千米,一列客车从甲站开往乙站,同时有一列货车从乙站开往甲站,4小时后相遇,已知客车的速度是货车的
倍,客车和货车每小时各行多少千米?(用方程解)
2.客车和货车从相距852千米的两地同时相向而行,相遇时,客车行的路程比货车的2倍少189千米,客车和货车各行了多少千米?
练习答案
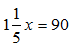
1.解:设货车的速度是x千米,则客车的速度是
千米。
x=75

2.客车:505千米 货车:347千米