典型题

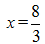
错解

错因剖析
此题主要错在对方程的解法掌握不好以及计算不够认真,利用等式的性质“等式两边同时乘同一个数,或除以同一个不为0的数,左右两边仍相等” “等式两边同时加上(或减去)同一个数(或式子),左右两边仍相等”即可解方程。
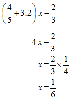
正确解答

点拨
本题考查了学生利用等式的性质解方程,注意等号要对齐。
跟踪练习


练习答案
9.6
1


此题主要错在对方程的解法掌握不好以及计算不够认真,利用等式的性质“等式两边同时乘同一个数,或除以同一个不为0的数,左右两边仍相等” “等式两边同时加上(或减去)同一个数(或式子),左右两边仍相等”即可解方程。

本题考查了学生利用等式的性质解方程,注意等号要对齐。


9.6
1
金星教育©版权所有