典型题
用简便方法计算。
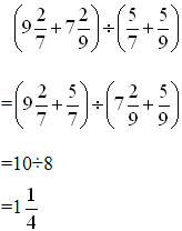
错解

错因剖析
此题错在为了计算简便而随意调换了数据的位置。如果把题中的带分数化成假分数,就不难发现,这道题可以运用乘法分配律进行简算。
正确解答

点拨
在简算特征不明显时,要注意全面分析,找出算式中数据的特点,正确、灵活地选择算法,使计算简便。
跟踪练习
用简便方法计算下面各题。

2. 1995.5×73+0.24×730+153.3
练习答案


用简便方法计算。

此题错在为了计算简便而随意调换了数据的位置。如果把题中的带分数化成假分数,就不难发现,这道题可以运用乘法分配律进行简算。

在简算特征不明显时,要注意全面分析,找出算式中数据的特点,正确、灵活地选择算法,使计算简便。
用简便方法计算下面各题。

2. 1995.5×73+0.24×730+153.3


金星教育©版权所有