典型题
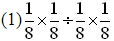
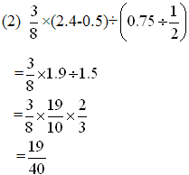
计算下面各题。


错解
错因剖析
(1)题受数值的干扰而弄错了运算顺序;
(2)题为了计算方便,没有先算(2.4-0.5),而是把
与2.4先约分了。
正确解答


点拨
算式中没有括号,且只含有乘、除法或只含有加、减法,要按从左到右的顺序计算;若既含有乘、除法, 又含有加、减法,要先算乘、除法,后算加、减法;算式中有括号的,要先算括号里面的,再算括号外面的。
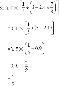
跟踪练习
计算下面各题。


练习答案


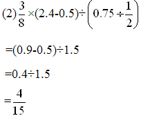
计算下面各题。


(1)题受数值的干扰而弄错了运算顺序;
(2)题为了计算方便,没有先算(2.4-0.5),而是把
与2.4先约分了。


算式中没有括号,且只含有乘、除法或只含有加、减法,要按从左到右的顺序计算;若既含有乘、除法, 又含有加、减法,要先算乘、除法,后算加、减法;算式中有括号的,要先算括号里面的,再算括号外面的。
计算下面各题。




金星教育©版权所有