2.分数除法 - (2)分数除法的混合运算
第1题

第2题

第3题

第4题
(1)

(2)

第5题
(1)A (2)B
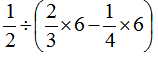
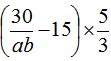
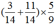
第6题
分析:本题考查的是分数除法混合运算的简便运算。在计算分数除法混合运算时要将除法转化成乘法,再进行简便运算。本题主要运用乘法分配律进行简便运算,计算时要注意混合运算的运算顺序。
解答:
原式=
…………………(1分)
=
…………………(2分)
=
…………………(3分)
原式=
…………………(4分)
=
=12+18+20 …………………(5分)
=50 …………………(6分)
原式=
…………………(7分)
=
=
=
…………………(8分)
=
…………………(9分)
原式=
=
…………………(10分)
=
=
…………………(11分)
=
=
…………………(12分)
第7题

第8题

第9题
(1)
(2)
第10题
分析:因为乘积是1的两个数互为倒数,所以互为倒数的两个数的乘积是1。因为a和b互为倒数,所以ab=1。(1)题和(2)题可以根据“除以一个不为0的数等于乘这个数的倒数”解题。
解答:
(1)原式=
…………………(1分)
=
…………………(2分)
=
…………………(4分)
(2)原式=
…………………(5分)
=
…………………(6分)
=
…………………(7分)
=
=25 …………………(8分)
第11题
分析:红球比黄球少30个,红球与黄球各加1个后,红球还是比黄球少30个,但红球的个数恰好是黄球个数的
,也就是说红球比黄球少
,30和
是对应关系,所以黄球有30÷
=45(个),原来黄球有45-1=44(个);原来红球有44-30=14(个)。
解答:
30÷
=45(个)…………(6分)
黄球:45-1=44(个)…………(8分)
红球:44-30=14(个)…………(10分)
答:红球原来有14个,黄球原来有44个。…………………(12分)
综合列式:
30÷
=45(个) …………………(4分)
45-1=44(个)…………………(6分)
44-30=14(个)或45÷3-1=14(个)…………………(10分)
答:红球原来有14个,黄球原来有44个。…………………(12分)