第一章 图示法 - 第2讲 画线段图法
方法概述
1.线段图指的是由一定意义的线段、箭头、数字符号等构成的图式。它可以形象、直观地帮助学生解决简单的实际问题。
2.线段图的种类:
(1)单线分段图 就是用一条线段来表示整体与部分量之间关系的线段图。画单线分段图的基本步骤是:先画标准量(单位“1”),接着表示部分量,最后标注所求问题。如本书第12页例1的题意分析图。

(2)复式并列图 就是用两条或两条以上的线段来表示几个并列量之间关系的线段图。画复式并列图的基本步骤是:先画标准量,再画比较量,最后标注所求问题。如本书第15页例5的题意分析图。

(3)变式线段图 就是在单线分段图和复式并列图基础之上进行的变形,多用于解答较复杂的实际问题,它的画法要根据具体问题灵活运用。例如画图表示两车二次相遇,就可以按照这样的步骤进行。如本书第19页例10的题意分析图。

典例精讲
方法点一 画单线分段图解部分量和整体之间关系的分数、百分数问题
例1 野骆驼是一种比大熊猫还要珍贵的野生动物,①目前全球现存的野骆驼大约有900峰,②其中
生活在我国境内。我国境内的野骆驼大约有多少峰?
方法指导

观察上图可以发现,我国境内的野骆驼数量约是
。
正确解答

答:我国境内的野骆驼大约有500峰。
例2 一袋食盐①用去
后,②还剩600克。这袋食盐的质量是多少克?
方法指导

观察上图可以发现,600克对应着一袋食盐质量的
,用600除以
即可得出一袋食盐的质量,也可根据“一袋食盐的质量-一袋食盐质量的
=600”列方程解答。
正确解答
方法一 算术法

方法二 方程法
解:设这袋食盐的质量是x克。

答:这袋食盐的质量是800克。
例3 一个盒子里装有若干个围棋子,①其中黑色棋子的个数比棋子总数的30%多20个,②白色棋子的个数比棋子总数的
少10个。盒子里共有多少个棋子?
方法指导

观察上图可知,10个黑色棋子对应棋子总数的
,用10除以
就得到棋子的总数。
正确解答

答:盒子里的共有100个棋子。
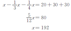
例4 一批货物,①第一次运走全部货物的
多20吨,②第二次运走全部货物的
多30吨,③这时货物还剩30吨。这批货物一共有多少吨?
方法指导

观察上图发现,(20+30+30)对应货物总量的
。用(20+30+30)除以
就可以求出货物总量。也可根据“货物总量-这批货物的
-这批货物的
=20+30+30”列方程解答。
正确解答
方法一 算术法

方法二 方程法
解:设这批货物一共有x吨。

答:这批货物一共有192吨。
方法点二 画复式并列图解几个量之间关系的分数问题
例5 ①一套A品牌运动装240元,买一套A品牌运动装比买一双A品牌运动鞋贵
。买一双A品牌运动鞋要用多少钱?
方法指导

观察上图发现,运动鞋的单价+运动鞋单价的
=运动装的单价,可以根据这个等量关系列方程解答,也可以转化成除法计算,即运动鞋的单价=运动装单价÷4×3。
正确解答
方法一 方程法
解:设买一双A品牌运动鞋要用x元。

方法二 算术法
240÷(1+3)×3
=60×3
=180(元)
答:买一双A品牌运动鞋要用180元。
例6 海豹的寿命大约是多少年?

方法指导

观察上图可以发现,海豹的寿命就是海象寿命的
的
,应该用连乘法来计算。
正确解答

答:海豹的寿命大约是20年。
方法点三 画变式线段图解稍复杂的问题
例7 商场搞促销活动,①如果购买500元以上的商品就把超出500元的部分打八折。张阿姨要买一件售价为800元的羽绒服,乔阿姨要买一件售价为200元的毛衣。两位阿姨合着买比分着买节省多少钱?
方法指导


观察上图,可以看出张阿姨和乔阿姨合着买比分着买节省的钱数就是200元的(1-80%)。
正确解答
200×(1-80%)=40(元)
答:两位阿姨合着买比分着买节省40元钱。
例8 为了庆祝中秋节,南关区政府在文化广场举办了大型文艺演出。①红叶艺术团的腰鼓队和秧歌队共有240人,②参加演出的秧歌队人数占本队人数的
,③参加演出的腰鼓队人数占本队人数的
。④如果两个队参加演出的人数相同,算一算,这两个队一共有多少人参加演出?
方法指导


观察上图可知,这两个表演队的人数一共被平均分成了12份,其中6份表示参加演出的人数。先求出1份队员的人数,再乘6就是两队参加演出的人数。
正确解答
240÷(5+7)×(3+3)
=20×6
=120(人)
答:这两个队一共有120人参加演出。
例9 一辆轿车和一辆货车同时从甲、乙两城出发,相向而行,①两车在距中点15千米处相遇。②轿车每小时行60千米,③货车每小时行52千米。甲、乙两城相距多少千米?
方法指导

观察上图发现,轿车比货车多行15+15=30(千米),用30千米除以两车的速度差就能求出相遇时间,再用速度和乘相遇时间就能求出两城之间相距多少千米。
正确解答
(15+15)÷(60-52)=3.75(小时)
(60+52)×3.75=420(千米)
答:甲、乙两城相距420千米。
例10 一辆卡车和一辆轿车同时从A、B两地相对开出,两车在途中距A地60千米处第一次相遇。然后两车继续前进,卡车到达B地、轿车到达A地后立即返回,两车又在途中距B地30千米处相遇。A、B两地相距多少千米?
方法指导

观察上图,卡车和轿车第一次相遇(即两车共行驶第一个全程)时,卡车行驶了60千米,两车第二次相遇时,两车共行驶了三个全程,则卡车共行驶了60×3=180(千米)。由图可知,卡车共行驶了一个全程还多30千米,所以用180-30所得的差就是A、B两地之间的路程。
正确解答
60×3-30=150(千米)
答:A、B两地相距150千米。