五 啤酒生产中的数学——比例 - 3.成正比例的量
第1题
(1)不是 (2)是 (3)不是 (4)是 (5)不是
第2题
(1)A (2)B
第3题
(1)成正比例,因为总价除以数量等于单价(单价一定)。
第4题
(1)成正比例 成正比例
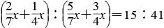
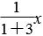
第5题
分析:因为两块合金同样重,所以设每块合金重x克。第一块合金中铜重
(克),第一块合金中锌重
(克)。第二块合金中铜重
(克),第二块合金中锌重
(克)。现将两块合金合成一块新合金,新合金中铜与锌的质量比是
解答:设每块合金重x克。
第一块合金中铜重:
克;锌重:
克。
第二块合金中铜重:
克;锌重:
克。
新合金中铜与锌的质量比: