2.分数加减混合运算 - (1)分数加减混合运算
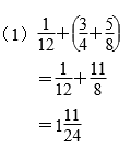
第1题

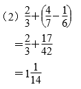
第2题

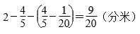
第3题
(1)减 加 (2)加 减
第4题


第5题

第6题

第7题
或
第8题

第9题
(1)一、三 获奖总人数
(3)分析:通过观察示意图可知,如果①+③表示的是一、三等奖占获奖总人数的
,②+③表示的是二、三等奖占获奖总人数的
,那么①+②+③表示的是获奖总人数,即单位“1”。则(①+③)+(②+③)-(①+②+③)=③,即三等奖占获奖总人数的
。
解答:(①+③)+(②+③)-(①+②+③)=③ ……(4分)
三等奖:
……(6分)