4.数的运算 - (1)四则运算
第1题
94.5 0.0945 945 0.945 3.5 350 27 0.27
第2题
> < < > > < > =
第3题
435 106.4
第4题
(1)[584-(5.8×17+7.8)]÷0.03
(2)[(584-5.8)×17+7.8]÷0.03
(3)(584-5.8)×17+7.8÷0.03
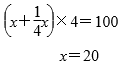
第5题
分析:设乙数为x,则甲数可以用含有x的式子表示,即
。由题意可知,甲、乙两数和的4倍等于100,根据这一等量关系,可列方程解答。
解答:解:设乙数为x,则甲数为
。

第6题
(1)0.6 (2)100 (3)1 (4)1.05 (5)2.97
第7题
800÷21÷2≈19.05(亿双) 800÷363≈2.20(亿双)
第8题




第9题
1936 1881 5 55 1902
1881 1902 5 1936 55