2.应用问题 - (2)稍复杂的已知一个数的几分之几是多少,求这个数
第1题
(2)苹果的质量 
第2题


第3题
(1)× (2)√
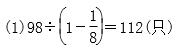
第4题
B
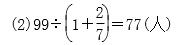
第5题
(答案不唯一)果园里有苹果树多少棵
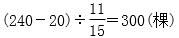
第6题
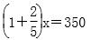
分析:首先要明确单位“1”,水结成冰后,体积增加
(体积增加了水的
),就是把水的体积看作单位“1”,那么冰的体积为水的1+
=
,知道冰的体积,求水的体积,用除法计算,即143÷
=130(立方分米)。
解答:143÷(1+
)=130(立方分米)…………(9分)
答:体积是130立方分米。…………(10分)