学霸易错题 - 一 分数乘法
易错点1 分数乘分数时用图形表示算式不理解
例1 下列图形的双阴影部分能表示
×
的是( )。
A.
B.
C.
错解 C
错因剖析 此题错在没有正确理解图形的意思,没能掌握数形结合思想解题的方法。选项B中的图是先把整个长方形看作单位“1”,阴影部分占它的
,双阴影部分又占
的
,即选项B是正确的。
正确解答 B
点拨:在用图形表示算式时,先要明白阴影部分占单位“1”的几分之几,再看双阴影部分占阴影部分的几分之几。
跟踪练习
1.在下面的长方形里面画出“
×
”。

2.照样子涂一涂。
×
×
×

答案
1.
2.
易错点2 考虑问题的方式单一
例2 判断:一个数乘假分数,积一定比原数大。
错解 √
错因剖析 此题有两个错点。一是假分数的取值范围为大于或等于1,当假分数等于1时,所得的积与原数相等;二是“一个数”必须不为0,如果是0,积等于原数。
正确解答 ×
点拨 在解决问题时,要做到全面地考虑问题,即把问题涉及的内容考虑全面。
跟踪练习
1.判断:一个大于0的数乘假分数,积一定比原数大。( )
2.判断:一个数乘真分数,积一定小于这个数。( )
3.在○里填上“>”“<”或“=”。
×
○
×
○
×2○
×
○
0×
○0
答案 1.× 2.× 3.< < > > =
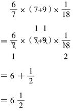
易错点3 四则混合运算中运算顺序不正确
例3 计算:
。
错解

错因剖析 此题错在没有掌握分数四则混合运算的运算顺序,导致计算结果错误。
正确解答

点拨 在四则混合运算过程中,有括号的要先算括号里面的。
跟踪练习
1.

2.
×(24-18)×
答案 1.15 2.
易错点4 乘法分配律理解错误
例4 用简便方法计算。
(
+
)×5×6
错解 (
+
)×5×6
=
×5+
×6=1+1=2
错因剖析 此题乘法分配律理解错误。题中是
与
的和乘5乘6,也就是括号里的
和
既要与5相乘,又要与6相乘,或者理解为
与
的和乘30,而不是用
×5+
×6。
正确解答 (
+
)×5×6
=
×5×6+
×5×6
=6+5
=11
点拨 简算时要先看清楚题目,再选择简算的方法。
跟踪练习
1.对比练习。(
+
)×6×7 (
×
)×6×7
2.计算。
×
+
×
+
×
3.简算。13×
×
×
(
+
+
)×12
答案 1.13 1 2.2
2
3.
9
易错点5 分数后面带单位与不带单位所表示的意义不同
例5 (1)一根钢材长
m,截去
,截去了多少米?
(2)一根钢材长
m,截去
m,还剩下多少米?
错解
(1)
-
=
(m)
答:截去了
m。
(2)
-
=
(m)
答:还剩下
m。
错因剖析 这两道题中的“
”是有区别的,第一个“
”后不带单位名称,表示的是分率,指截去的占总长的
;而后一个“
”后带单位名称,表示具体数量。
正确解答
(1)
×
=
(m)
答:截去了
m。
(2)
-
=
(m)
答:还剩下
m。
点拨 分数既可以表示分率,又可以表示数量,在应用时注意区分。
跟踪练习
1.一块布长
m,用去
m,还剩( )。一块布长
m,用去
后,还剩( )。
2.一根3m长的木头,先截下它的
后,再截下
m,这时还剩下多少米?
3.学校食堂原有大米3.2吨,第一周用去了总数的
,第二周用去了
吨,还剩下多少吨?
答案 1.2m
m 2.3×(1-
)-
=1(m)
3.3.2×(1-
)-
=1.7(吨)
易错点6 分数乘法应用题中单位“1”的量不明确
例6 判断:甲比乙多
,则乙比甲少
。
错解 √
错因剖析 两句话中的单位“1”是不同的。第一句话中的单位“1”为乙;而第二句话中的单位“1”为甲。单位“1”发生了变化,分率就会有所不同。
正确解答 ×
点拨 在分析解答分数应用题时,一定要先确定单位“1”的量,然后根据题意分析解答。
跟踪练习
1.甲班人数比乙班多
,则乙班人数比甲班少( )。
2.水结成冰后,体积比原来增加
,冰化成水后,体积减少冰的( )。
3.100增加
后,再减少
,所得的数与原数相等。( )(判断对错)
答案 1.
2.
3.×