1.比 - (2)比的基本性质
第1题
(1)扩大到原来的2倍 (2)24 20 6 5
(3)比 数 (4)4 12 15
(5)6 64 9 48
第2题
(1)6 6 7 3 (2)8 8 1 2 (3)16 16 4 3
第3题
5∶1 16∶25 5∶6 3∶4 60∶11 3∶4
第4题

第5题
(1)B (2)C (3)C (4)B
第6题
20∶25=4∶5
第7题
8.2∶3.0∶3.4=41∶15∶17
第8题
……(4分)
……(16分)
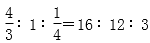
(3)分析:把两个比合并成一个比,只需要把共同项当做单位“1”就可以了。本题中,分别给出了小林与小明的速度比和小明与小强的速度比,若想求他们三人的速度比,把两个比里共同出现的小明当做单位“1”,那么小林的速度就是
,小强的速度就是
。然后再把他们三人的速度比连接起来,即
。
解答:16∶12∶3……(22分)
第9题
分析:在本题中,可以分别求出喝两次后杯子里的牛奶和水分别是多少,然后再求它们的比是多少。第一次加满水后,杯子里有
杯牛奶;第二次加满水后,杯子里有
杯牛奶的
,即
杯牛奶。牛奶是
杯,那么水就是
杯。这时牛奶与水的比是
解答:1∶3