六年级数学(上册) - 七 百分数的应用
1.百分数的应用(一)(1)
1.(1)25 (2)20
2.(1)(118-100)÷100=18%
(2)(118-100)÷118≈15.25%
3.(2800-2700)÷2800≈3.6%
4.(1)(1260-1160)÷1160≈8.6%
(2)(1400-1260)÷1400=10%
5.25%÷(1+25%)=20%
2.百分数的应用(一)(2)
1.12000÷(138000+12000)=8%
2.(1) × (2)× (3)√
3.0.184÷(5.896-0.184)≈3.2%
4.(1)(38-13)÷13≈192.3%
(2)(38-14)÷38≈63.2%
5.(1)80-70=10(分)
91-80=11(分)
10<11 笑笑的分数提高得多。
(2)10÷70≈14.3%
11÷80=13.75%
淘气的分数提高的百分比大。
3.百分数的应用(二)(1)
3.百分数的应用(二)(1)
1.(1)15 (2)50 (3)110
2.(1)580×(1+20%) (2)20×(1+150%)
3.75×(1+80%)=135(次)
4.5.5×(1+7.9%)≈5.93(万亿元)
5.半小时是30分 3000÷30=100(米/分)
100×(1+50%)=150(米/分)
3000÷150=20(分)
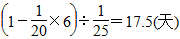
6.20×(1+25%)=25(天)

4.百分数的应用(二)(2)
2.1130×(1-60%)=452(元)
3.(1000÷20)×(1-20%)=40(件)
1000÷40=25(天)
4.12000÷80%=15000(kg)
15000×(1+20%)=18000(kg)
5.(1)1500×(1-20%)=1200(m)
(2)1200×(1+25%)=1500(m)
6.120×(1+10%)×(1-10%)=118.8(元)
5.百分数的应用(三)(1)
1.(1)(1-30%)x=3.5
x=5
(2)(1+25%)x=40
x=32
2.x=400 x=5.4 x=100 x=200
3.解:设果园里共有果树x棵。
40% x-20% x=120
x=600
4.20% (1)700÷(40%+10%)=1400(kg)
(2)200÷(30%-20%)=2000(kg)
(3)5×30%=1.5(吨)
5.解:设书架上原来有x本书。
50% x=(x+20)×40%
x=80
6.百分数的应用(三)(2)
1.
(1)解:设去年收棉花x吨。
x+20%x=4.8
x=4
(2)解:设一共有x个苹果。
(1-70%)x=180
x=600
2.解:设去年收粮食x吨。
x-20% x=8
x=10
3.5.05÷(1+6%)≈4.76(万人)
4.420÷120%=350(mg)
5.(1)F (2)A (3)C (4)B (5)D (6)E
6.1-60%=40%

7.百分数的应用(四)
1.50000 1625 3.25%
2.(1)B (2)A (3)B (4)C (5)C
3.(1)√ (2) × (3)×
4.20000×3.75%×2=1500(元)
5.500×3.25%×1=16.25(元)
6.150000×(1-30%)×6.15%×3=19372.5(元)
19372.5>10000
到乙销售公司购买汽车便宜。
7.解:设年利率是x。
30000+30000×x×3=33825
x=4.25%
8.解:设妈妈的年终奖金是x元。
80%x×5.43%×3=390.96
x=3000
9.
方案一:5000×3.75%×2=375(元)
方案二:5000×3.25%×1=162.5(元)
(5000+162.5)×3.25%×1≈167.78(元)
162.5+167.78=330.28(元)
375>330.28 按方案一存款更合算。