六年级数学(上册) - 一 分数乘法
(1)分数乘整数
第1题
(1) 
(2)
(3)
第2题

第3题
> > = <
第4题
40 20 300 600 60 3500
第5题

第6题
分析:本题考查学生对分数乘法中分数与整数相乘的易错情况的掌握程度。分数乘整数,用分子乘整数的积作分子,分母不变。(1)整数与分母约分后,与分母相乘,造成错误;(2)整数应与分子相乘而不是约分,题中整数与分子约分,造成错误。
解答:(1)B……(4分)(2)A……(8分)
第7题

第8题
分析:本题考查学生对分数乘法的理解和应用。题中用图表示2公顷被平均分成5份,则一份表示
(公顷),所以把图中任意一份涂上阴影即可表示出
公顷。
解答:如图所示: (答对一种即可)


第9题


第10题

第11题
分析:本题主要考查分数乘法的实际应用。题中给出了两个信息:一是孢子每天可以长大1倍;二是第10天时孢子充满这个容器的
。把容器的体积看作单位“1”。(1)孢子每天可以长大1倍,实际上就是体积扩大到原来的2倍;(2)第10天时孢子充满这个容器的
,第11天时孢子的体积是第10天的2倍,即第11天时孢子充满这个容器的
;第12天时孢子的体积是第11天的2倍,即第12天时孢子充满这个容器的
;(3)第13天时孢子的体积是第12天的2倍,即
,第13天时孢子正好充满这个容器。
解答:
(1)2 …… (2分)
(2)
……(7分)
(3)能 ……(11分)
(2)分数乘分数(1)
第1题

第3题

第4题
> < > <
第5题
(1)
(2)
第6题
分析:本题考查的是三角形的三边关系及用分数乘法求三角形的周长。题中是一个等腰三角形,所以这个三角形的两腰相等,已知一条边长是
dm,另一条边长是
dm。(1)根据“三角形任意两边之和大于第三边”可知,若第三条边长是
dm,则其中的两边之和为
(dm),
,不符合题意;若第三条边长是
dm,则其中的两边之和为
(dm),
,符合题意。所以这个等腰三角形的腰长是
dm,底边长是
dm。(2)等腰三角形的周长为腰长的2倍与底边长的和,即
(dm)。(3)已知一条边长是
dm,另一条边长是
dm。若第三条边长是
dm,则其中的两边之和为
(dm),
,符合题意;若第三条边长是
dm,则其中的两边之和为
(dm),
,符合题意。所以这个等腰三角形的腰长是
dm,底边长是
dm;或腰长是
dm,底边长是
dm。这个等腰三角形的周长是
(dm)或
(dm)。
解答:
(1)
……(4分)
(2)
(dm)……(10分)
答:这个等腰三角形的周长是
dm。
(3)
(dm)或
(dm)……(16分)
答:这个等腰三角形的周长是
dm或
dm。
(3)分数乘分数(2)
第1题
(1)A

(2)C

第2题

第3题

第4题
(1)
相等 (2)
一 (3)
二
(4)三 (5)①当两根绳子长1 m时,这两根绳子用去的长度相等;②当两根绳子的长大于1 m时,第一根绳子用去的长;③当两根绳子的长小于1 m且大于等于
m时,第二根绳子用去的长。
(4)小数乘分数
第1题
(1)2 3.3 (2)0.8 (3)0.3
第2题

第3题

第4题

第5题
13.7-3=10.7(亿人)

第6题


【※浙江专用】
第7题
氧气:
氮气:
第8题
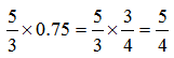
分析:本题考查学生对分数乘法的灵活应用。
(1)
,即
,分子相同,比较分子相同的两个分数,分母越小,分数越大。所以要使
比
大,分母就要比4小,所以□里可以填的最大整数为3;(2)因为
,所以原式可转化为
,即
,要使
比1小,分子一定小于6,所以□里可以填的最大整数为5。
解答:
(1)3 ……(4分)
(2)5 ……(8分)
(5)分数的混合运算
第1题

第2题

第3题
方法一 
方法二 
第4题
(1)
(2)4÷4=1(dm)

第5题
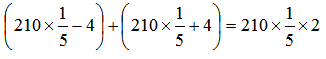
分析:本题考查学生运用分数的混合运算解决实际问题的能力。本题中甲、乙两个修路队合修一条长为210 km的路,甲队修了全长的
少4 km,即甲队修了
(km);乙队修了全长的
多4km,即乙队修了
(km)。甲、乙两队一共修了
,所以(3)题中只有C错。
解答:
(1)
(km)
答:甲队修了38 km。……(4分)
(2)
(km)
答:乙队修了46 km。……(8分)
(3)C ……(12分)
(6)分数乘法的简算
第1题

第2题

第3题
(1)
(2)
第4题
分析:本题考查分数乘法的简便运算。整数乘法的交换律、结合律和分配律,对于分数乘法同样适用。(1)方法一:交换题中第一个算式的两个分子的位置后,可以逆运用乘法分配律使计算简便;方法二:交换题中第二个算式的两个分子的位置后,可以逆运用乘法分配律使计算简便。(2)题的计算方法与(1)题的计算方法相同,都需要逆运用乘法分配律计算。
解答:
(1)方法一
原式
方法二
原式
(2)方法一
原式=
……(9分)
=
……(10分)
=
……(12分)
方法二
原式=
……(13分)
=
……(14分)
=
……(16分)
(7)解决问题(1)
第1题

第2题
A
第3题

第4题

第5题

第6题
方法一

方法二

(8) 解决问题(2)
第1题
(1)四月份的产量
(2)
第2题

第3题

第4题

第5题
分析:根据题意可知:公鸡有400只,母鸡的只数比公鸡多
,即母鸡比公鸡多
只;母鸡的只数是公鸡的
倍,母鸡有
只;公鸡和母鸡一共有
只。
解答:
(1)B …… (3分)
(2)C ……(6分)
(3)A ……(9分)
第6题


第7题

第8题

第9题
分析:
(1)4袋速冻水饺,每袋重
kg,所以这4袋速冻水饺共重
(kg)。
(2)因为面粉占水饺质量的
,所以包4袋这样的速冻水饺共需要面粉
(kg)。
(3)
方法一
水饺的质量=面粉的质量+牛肉馅的质量,所以牛肉馅的质量=水饺的质量-面粉的质量,即
(kg);
方法二
因为面粉占水饺质量的
,所以牛肉馅占水饺质量的
,所以牛肉馅的质量为
(kg)。
解答:
(1)
(kg) ……(5分)
答:这4袋牛肉馅速冻水饺共重2kg。 ……(6分)
(2)
(kg) ……(11分)
答:需要面粉1.2kg。 ……(12分)
(3)
方法一
(kg) ……(17分)
答:需要牛肉馅0.8kg。 ……(18分)
方法二
分步列式:
……(15分)
(kg) ……(17分)
答:需要牛肉馅0.8kg。 ……(18分)
综合列式:
……(17分)
答:需要牛肉馅0.8kg。 ……(18分)
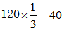
第10题
分析: 根据题意可知,图书室有故事书、科技书、连环画三种图书,其中科技书有120本,故事书比科技书多
,那么故事书比科技书多
(本),即科技书比故事书少
(本),所以故事书有
。也可以这样想:故事书比科技书多
,即故事书是科技书的
倍,所以故事书有
(本)。那么科技书比故事书少
; 连环画比故事书少
,那么连环画比故事书少
(本),所以连环画有
(本)。也可以这样想:连环画比故事书少
,即连环画是故事书的
倍,所以连环画有160×(1-
)=100(本)。
解答:
(1)方法一
分步列式:
(本) ……(2分)
120+40=160(本) ……(4分)
……(6分)
答:科技书比故事书少
。 ……(7分)
综合列式:
……(6分)
答:科技书比故事书少
。 ……(7分)
方法二
分步列式:
120×
=40(本)
……(2分)
……(4分)
40÷160=
……(6分)
答:科技书比故事书少
。 ……(7分)
综合列式:
……(6分)
答:科技书比故事书少
。 ……(7分)
(2)方法一
分步列式:
……(10分)
160-60=100(本) ……(13分)
答:连环画有100本。 ……(14分)
综合列式:
(本) ……(13分)
答:连环画有100本。 ……(14分)
方法二 分步列式:
……(10分)
(本) ……(13分)
答:连环画有100本。 ……(14分)
综合列式:
(本) ……(13分)
答:连环画有100本。 ……(14分)
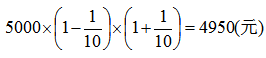
第11题
分析: 一台电脑的原价是5000元,先降价
,所以降价后的价格是原价的
,即降价后的价钱是
(元)。再涨价
,所以涨价后的价格是降价后价格的
,即现在这台电脑的价钱是
(元)。
解答:分步列式:
(元) ……(4分)
(元) ……(7分)
答:现在这台电脑是4950元。 ……(8分)
综合列式:
……(7分)
答:现在这台电脑是4950元。 ……(8分)